Predicting Water Quality in Sydney, Australia

Sandy Lin sl2534, Renee Lin rxl3,Jeremy Kang jgk92, Tiffany Yeung ty272

Predicting Water Quality in Sydney

  • We analyze Sydney swimming site water quality alongside local weather conditions.

  • Water quality is measured using enterococci (CFU/100 mL), a standard indicator of microbial contamination.

  • Goal: understand how rainfall patterns relate to contamination and swimming safety.

Research Questions

  1. How does rainfall affect water quality over time?

  2. Are some regions more sensitive to rainfall-driven contamination than others?

Question 1: Rainfall effect on water quality

[Question 1, Figure 1]

[Question 1, Figure 2]

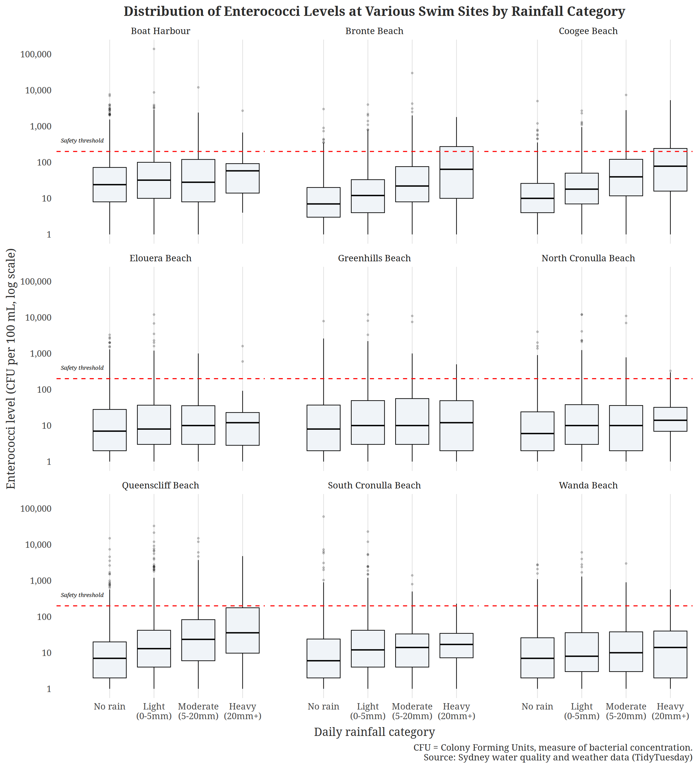
Question 2: Regional sensitivity after rainfall

How does the concentration of Enterococci bacteria change across different regions following rainfall?

Question 2, Figure 2

[1] 2